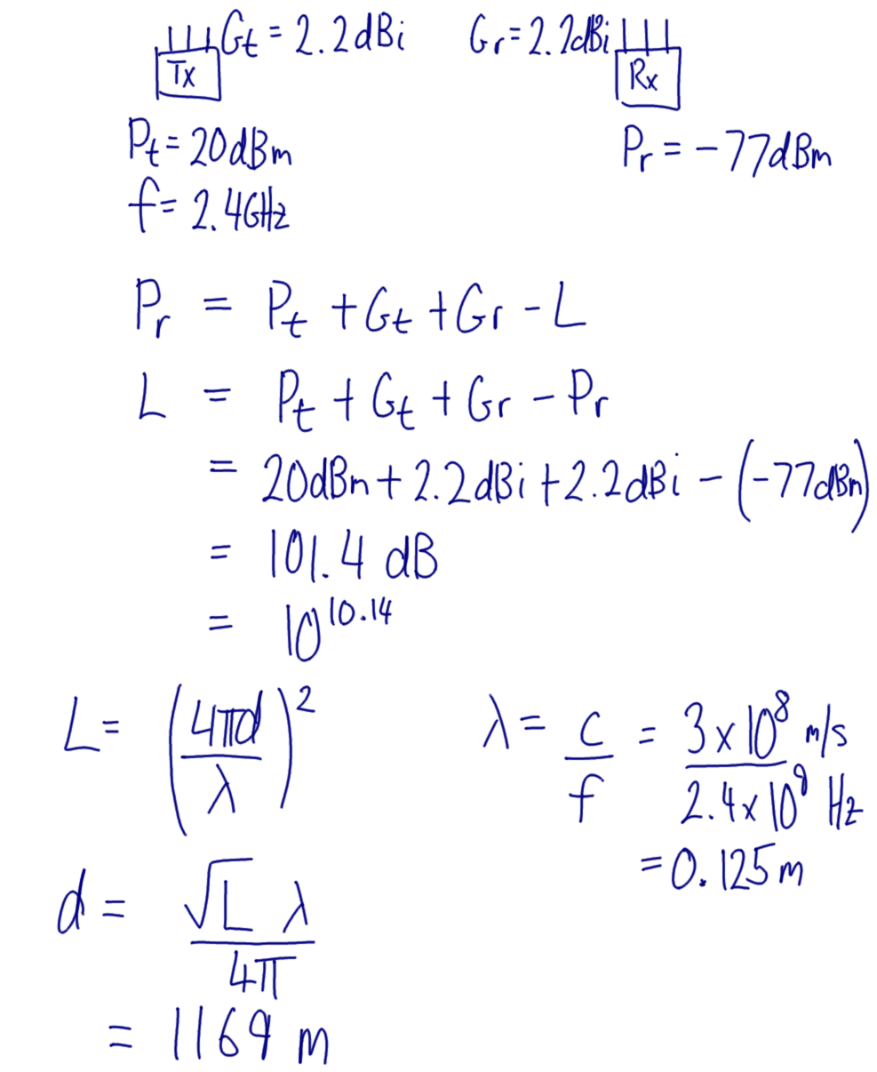
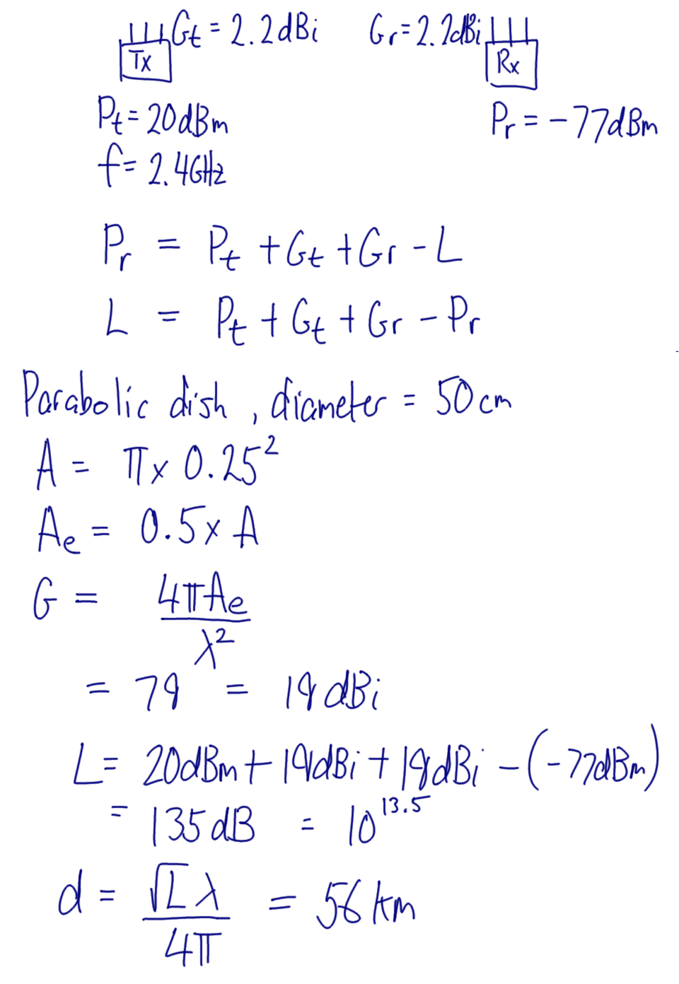
Path loss model and conversion to dB: View, Source
IPSTAR satellite example View, Print, Source. See the websites for IPSTAR and ThaiCom for more technical details.
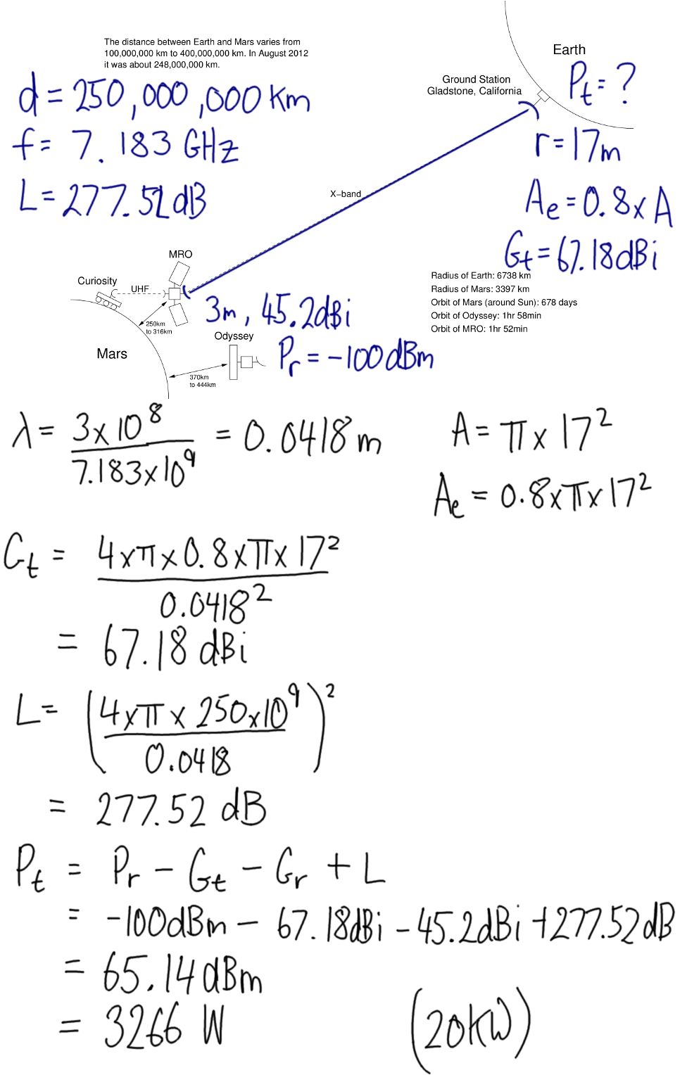
Talking to Martians: A technical analysis of communications from Earth to the NASA Curiosity Rover on Mars, focusing on details relevant to this course (antenna gain, path loss, transmission delay, transmit power, frequency etc). View
Notes from the lecture are below. Hover over the image to see a description; right-click and view the image to zoom in. Alternatively, download a zip archive with all the images or a printable PDF of the notes.