Security and Cryptography (S2, 2015)

Number Theory

Lecture Material

Readings

Videos

Notes

Hover over images to see the title; right-click and view the image to zoom in. Alternatively, download a zip archive with all the images or a printable PDF of the notes. You can also download a printable PDF of the notes from last year.

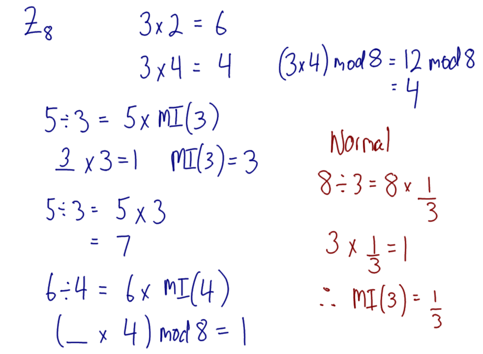
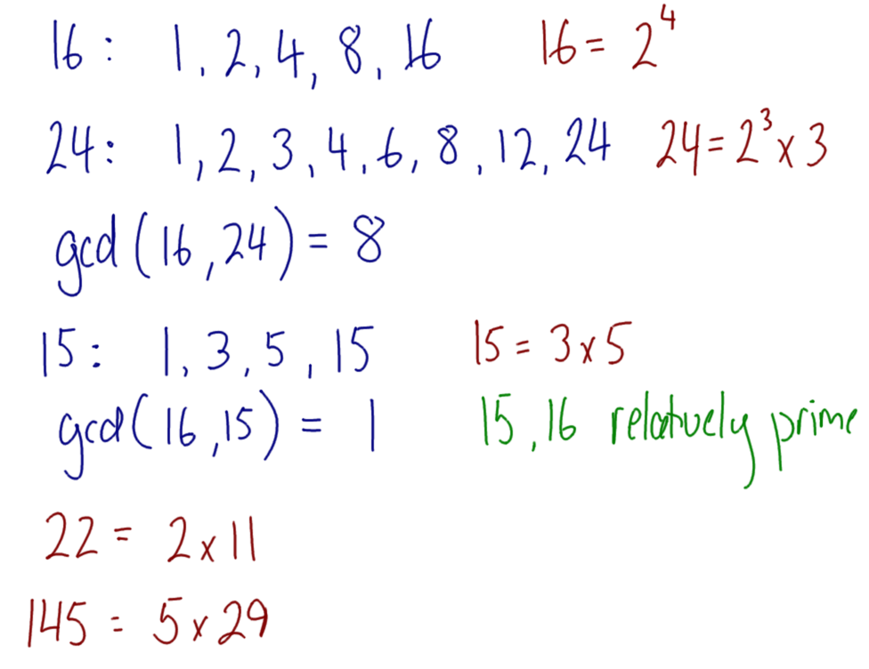
Divisibility and Primes Modular Addition and Subtraction Additive Inverse Modular Multiplication and Division Multiplicatve Inverse Simplified Multiplication Euler's Totient Fermats Theorem and Eulers Theorem Discrete Logarithm Primitive Roots Number Theory Examples

Return to: Course Home | Course List | Steven Gordon's Home | SIIT