Security and Cryptography (S2, 2014)

Classical Encryption Techniques

Lecture Material

Readings

Videos

Notes

Hover over images to see the title; right-click and view the image to zoom in. Alternatively, download a zip archive with all the images or a printable PDF of the notes.

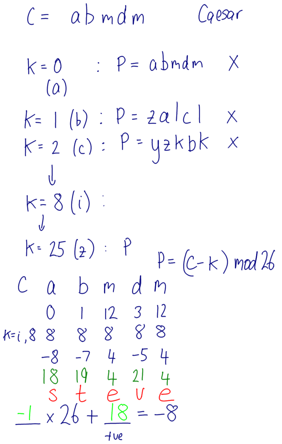
Caesar cipher decryption Attack on Caesar cipher Key length of a monoalphabetic cipher Encryption with Playfair cipher Encryption with Vigenere cipher Rail Fence Transposition cipher Rows Columns Transposition cipher One Time Pad in Binary Example of Known Plaintext

Return to: Course Home | Course List | Steven Gordon's Home | SIIT