Security and Cryptography (S2, 2013)

Number Theory

Lecture Material

Readings

Videos

Notes

Hover over images to see the title; right-click and view the image to zoom in. Alternatively, download a zip archive with all the images or a printable PDF of the notes.

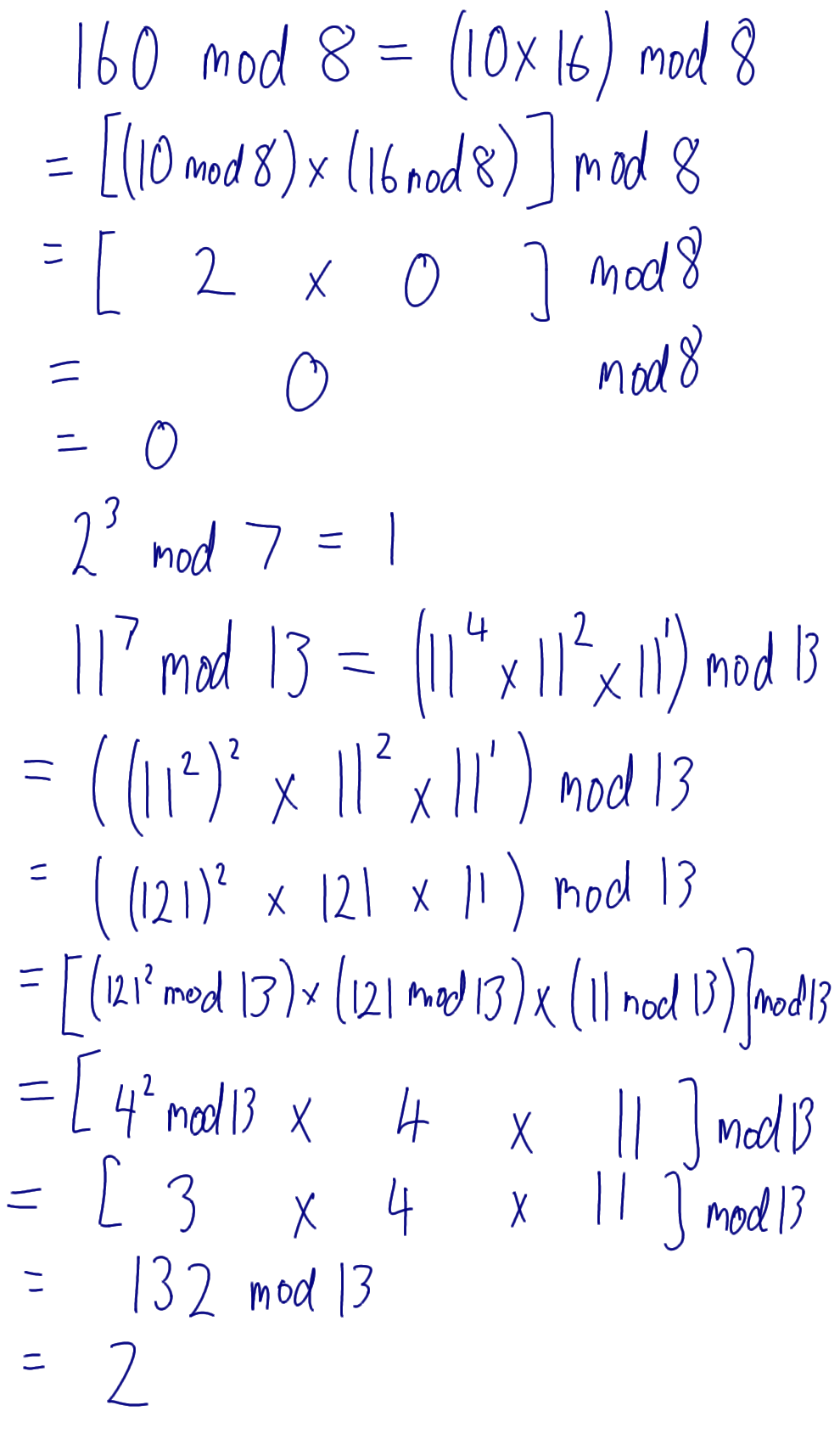
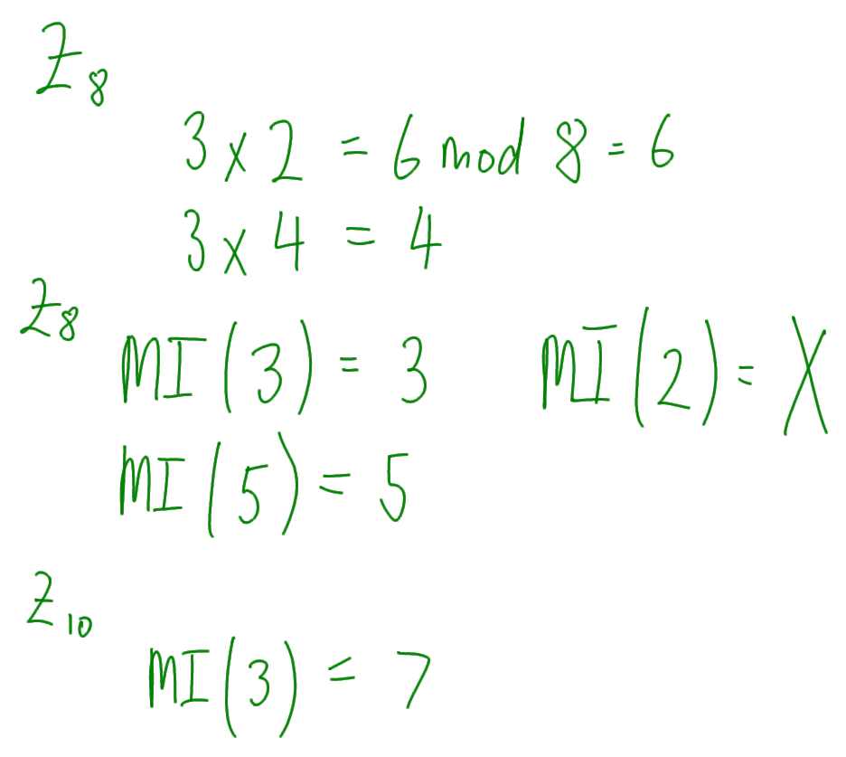
Divisors (Factors) Examples Addition and Subtraction in Modular Arithmetic Multiplication in Modular Arithmetic Division in Modular Arithmetic Expansion for Multiplication and Exponentiation Fermats Theorem Example Eulers Totient Function Eulers Theorem Example Discrete Logarithm Example Primitive Root Example Discrete Log Example

Return to: Course Home | Course List | Steven Gordon's Home | SIIT