Security and Cryptography (S2, 2013)

Cryptographic Hash Functions

Lecture Material

Readings

Videos

Notes

Hover over images to see the title; right-click and view the image to zoom in. Alternatively, download a zip archive with all the images or a printable PDF of the notes.

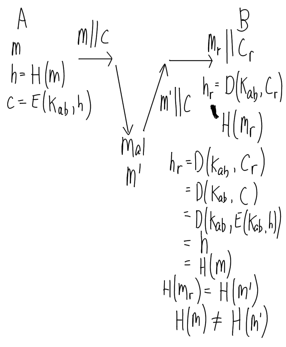
Attack on Hash for Authentication: Change M Attack on Hash Authentication with Symmetric Key: Change M

Attack on Hash Authentication with Secret: Change M Attack on Hash Authentication with Secret: Change M and h Hash Function vs MAC Function Symmetric Encryption cannot provide digital signature

Return to: Course Home | Course List | Steven Gordon's Home | SIIT